1. 실험 목적
직선전극과 원형전극에 대해 등전위선과 전기력선을 그려봄으로써 전위와 전기장의 개념을 이해하고 등전위선과 전기장의 관계를 알아본다.
2 실험 원리
(1) 쿨롱법칙
쿨롱 법칙 또는 쿨롱 힘 법칙은 두 대전된 입자 사이에 작용하는 정전기적 인력이 두 전하의 곱에 비례하고, 두 입자 사이의 거리(r)의 제곱에 반비례한다는 법칙이다. 식으로 적으면 다음과 같다.

K는 쿨롱 힘 상수로 다음과 같다.

(2) 전기장
전기를 띤 전하나 시간에 따라 변하는 자기장 주위의 공간에는 전기장이 형성된다. 이 전기장 안에서 대전된 물체는 전기력을 받게된다. 임의의 점전하 q가 다른 전하로 인해 생긴 전기장E로 인해 힘을 받을 때 그 점에서 전기장은 다음으로 정의된다.

(3) 등전위선
임의의 점전하 q에서의 전위 V는 단위 전하당의 위치에너지로 정의된다. 그러므로 전하 q에서 거리 r만큼 떨어진 위치에서의 전위는 다음과 같다.

이 식으로부터 점전하 q에서 같은 거리 r만큼 떨어진 점의 집합인 구의 표면이 전위가 같은 등전위면임을 알 수 있다. 이와 같이 전기장 내에는 같은 전위를 갖는 점들이 무수히 많이 존재하며, 이 점들을 연결하면 2차원에서는 등전위선을 이룬다.

(4) 전기장의 방향
<구하는 방법①>
같은 등전위선 상에 거리가 d인 두 점 α와 β를 잡으면 전위차는 다음과 같다.

여기서 E와 d는 일정하므로 위의식의 값이 0이 되기 위해서는 𝜽가 90°이 되어야 한다.
따라서 전기장의 방향은 등전위선에 수직한다.
<구하는 방법②>
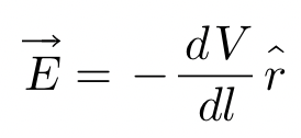
전기장 E 하에서 전하 q를 한 점에서 다른 점으로 dt 만큼 이동시키는데 필요한 일 dW는 다음과 같다.

같은 등전위선 위의 전위차(dV)는 0이므로 등전위선을 따라 전하를 이동시키는 데 필요한 일(dW)도 0이다. q와 E는 일정하므로 E와 미소 변위 dl는 90°로 접선 방향임을 알 수 있고, 등전위선 위 접선 방향 성분의 전기장 크기는 0이다. 따라서 전기장의 방향은 등전위선에 수직이며 그 방향으로의 미소 변위를 dl이라 하면 E와 V사이의 관계식은 다음과 같다.

r는 등전위선에 수직인 단위 벡터이다. 등전위선에 수직인 방향은 단위 길이 당 전위차가 최대인 방향이므로 전기장의 방향은 등전위선에 수직인 방향 즉 전위차가 최대인 방향이다.

위와 같이 2차원의 전도성 종이에 전류를 흘린다면 전도성 종이 표면의 저항에 의해 전압 이 내려가고, 같은 전위를 가지는 점들이 생긴다. 그리고 이 등전위선에 수직한 방향으로 (+)극에서 (-)극으로 전기장이 생긴다. 임의의 두 등전위선 Va,Vb에서 전기장의 방향은 등전위선에 수직이고, 점 A1에서 X방향보다 E방향에서 등전위선 사이의 간격이 더 짧으므로 이 방향이 단위 길이 당 전위차가 최대인 방향이며 전기장 방향이 된다.
3. 실험 기구 및 재료
전도성 종이, 코르크판, 전선, 직선전극, 원형전극 컴퍼스, 형광색 색연필, 나비볼트, 직류 전원 공급기, 멀티미터
4, 실험 방법
<실험 1> 등전위선 측정
1. 코르크판 위에 전도성 종이를 올려놓고 직선전극과 원형전극을 나비볼트로 고정시킨다.
2. 전극에 전선을 꽂고 직류전원공급기의 전원을 연결하고 6V로 조절한다. 이때 전극이 전원과 확실히 접촉되었는지 멀티미터를 이용하여 확인한다.
3. (+)극에 멀티미터의 한쪽 탐침을 대고 전도성 종이위에서 다른 쪽 탐침을 움직이며 전위차가 1V인 점을 찾아 종이에 표시가 나도록 한다.(전도성 종이와 멀티미터 탐침 사이의 접촉 세기를 일정하게 유지시키고 너무 세게 누르지 않도록 한다).
4. 1V인 점을 여러 개 찾아서 선으로 잇는다.
5. 여러 개의 등전위선을 1V의 전위차 간격으로 찾아서 4의 과정을 반복한다.
<실험 2> 전기장 측정
1. 실험 1에서 찾은 등전위선 위 임의의 점을 중심으로 컴퍼스를 이용하여 원을 그린다.
2. 중심으로 잡은 점에 멀티미터의 한쪽 탐침을 대고 다른 쪽 탐침으로는 그려놓은 원 위를 따라가면서 전위차가 최대가 되는 점을 찾아 표시한다.
3. 두 지점을 연결한 선을 긋고 화살표를 (+)극에서 (-)극 방향으로 그린다.
4. 다시 화살표의 끝 지점에 멀티미터의 한쪽 탐침을 대고 다른 쪽 탐침으로 원을 그리며 전압의 변화를 관찰하여 전압의 변화가 최대인 점을 찾는다.
5. 2, 3의 과정을 (-)극에 닿을 때 까지 반복한다.
5. 측정값


6. 실험 결과
직류전원 공급기를 6V로 맞추고 직선전극에서 전위차가 1V인 점을 찾아 연결하였을 때 일직선이 나타났고, 1V씩 올려서 전위차가 5V인 점을 여러 개 이어 그렸을 때도 마찬가지였다. 전극에 가까워질수록 조금 휘어지는 것을 1V의 등전위선에서 확인할 수 있었다.
원형전극에서는 그 주위로 전극에 가까워질수록 많이 휘어진 포물선 형태의 모양이 나타났고, 중앙인 3V에서는 일직선의 형태로 나타났다.
등전위선에서의 한 점을 중심으로 잡고 컴퍼스로 원을 그려 그 원위에서 전위차가 최대인 방향을 찾아 점을 찍어 연필로 화살표를 그려보니 실험원리에서 정리한 것과 같이 등전위선에 수직인 방향에 가깝게 그려졌다.
7. 결과에 대한 논의
위의 측정값을 보면 직선이나 곡선으로 그려진 것이 등전위선이며 화살표 표시를 하여 이은선이 전기장의 방향이다. 직선전극에서 1V와 5V는 전극 쪽으로 선이 휘어야하지만 세 개의 점만 찾아서 이어 그렸기 때문에 맨 끝에 조금 휘어진 것을 빼면 확실하게 눈으로 알기 어려웠다.
직선전극과 원형전극 둘 다 조금씩 화살표가 비뚤어지게 그려졌는데, 이러한 오차가 나는 이유는 똑같은 곳에 멀티미터를 갖다 댈 때마다 값이 미묘하게 달라져서 정확한 한 점을 찾기 어려워서라고 생각한다.
8. 결론
전극의 모양에 따라 전압을 측정하여 등전위선을 그리고 전위차가 최대인 점들을 찾아 전기장의 방향을 알아보았다.
직선전극 에서의 등전위선은 중앙에서 멀지않은 곳에서 세 점을 잡아서 일직선에 가까운 형태였지만 양옆에서 조금의 곡률을 보였고, 원형전극 에서의 등전위선은 중앙의 일직선 양 옆으로 점점 곡률이 높아지는 포물선형태가 되었다.
전위차가 최대인 점을 연결해 전기장의 방향은 등전위선과 수직이고, 전기장은 (+)극에서 나와 (-)극으로 들어간다.
잘못된 내용이 있다면 언제든지 댓글이나 메일로 알려주시면 감사하겠습니다.
이 포스팅이 도움이 되었다면 공감 부탁드립니다.
궁금한 점은 언제든지 댓글 남겨주시면 답변해드리겠습니다:D
'관리하지않음 > 대학과제' 카테고리의 다른 글
| 일반물리학 실험 보고서 6 - 교류회로 (0) | 2020.03.14 |
|---|---|
| 일반물리학 실험 보고서 5 - 축전기의 충전과 방전 (0) | 2020.03.14 |
| 일반물리학 실험 보고서 3 - 전류 저울 (0) | 2020.03.13 |
| 일반물리학 실험 보고서 2 - 직류회로 (2) | 2020.03.12 |
| 일반물리학 실험 보고서 1 - 전자측정연습 (0) | 2020.03.12 |