1. 실험 목적
축전기의 충전과 방전 과정을 관찰하여 관계식을 알아보고 축전기의 기증을 알아본다.
2. 실험 원리


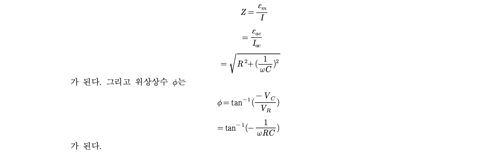
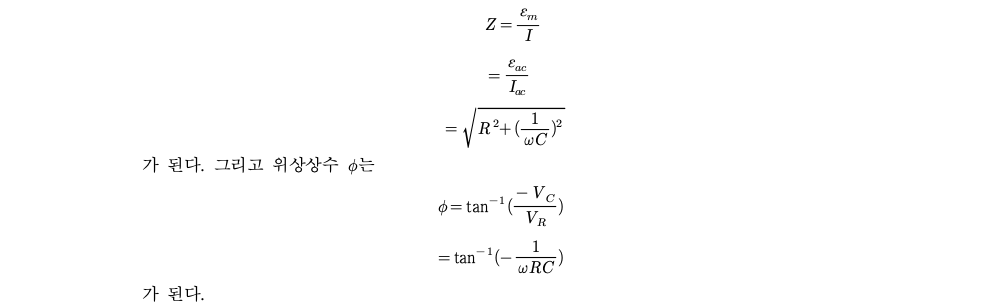
(2) 임피던스란 교류회로에서 전류가 흐르기 어려운 정도를 나타낸다. 복소수로서 실수부분은 저항, 허수부분은 리액턴스를 의미하며, 크기뿐 아니라 위상도 함께 표현할 수 있는 벡터량이다. 단위는 SI 단위계로 옴(Ω)을 사용하며, 보통 기호 Z로 표시한다. 임피던스의 역수는 어드미턴스라고 한다.
3. 실험 기구 및 재료
축전기, 저항, 직류 전원 공급기, 멀티미터, 초시계
4. 실험 방법
① 축전기의 용량이 100uF이고 저항이 50K(Ohm)인 회로를 구성한다.
② 전원 공급기의 전원을 켜고 충전 과정이 일어나도록 준비를 한다.
③ 충전 과정이 일어나도록 스위치를 전환하고 나서 축전기 양단의 전압과 회로에 흐르는 전류를 멀티미터를 이용해 측정하고 휴대폰으로 동영상 촬영을 한다.
④ 방전 과정이 일어나도록 스위치를 전환하고 ③과 같이 동영상 촬영을 시작한다.
⑤ 축전기가 100uF, 저항이 100K(Ohm)인 회로를 구성하여 ②~④와 같이 실험을 한다.
⑥ 동영상 촬영을 보면서 시간에 따른 전류와 전압을 기록한다.
⑦ 시간 대 전압, 시간 대 전류, 시간 대 로그전압, 시간 대 로그전류의 그래프를 그리고 기울기로부터 시정수를 구한다.
5. 측정값

6. 실험 결과
7. 결과에 대한 논의
이번 실험은 회로를 구성하여서 실험값을 측정하는 것 이었는데 하나의 부품이 고장 나면 측정값이 완전히 달라지기 때문에 조심해야 했다. 우리 조는 실험을 계속해도 실험값이 계속 이상하게 나와서 하나하나 점검해보니 콘덴서가 고장 난 것을 알 수 있었다. 실험 1은 이론값과 실험값 아이의 오차가 거의 없지만, 실험2에서는 큰 오차가 발생하였다. 오차가 난 이유 중 첫 번 째는 시간에 맞춰 멀티미터 값을 정확히 받아 적는 것이 어려웠던 점이다. 휴대폰을 사용해 동영상을 찍고 나중에 실험값을 받아 적었지만 그 과정에서 한치의 오차도 없었다고 하기는 어렵다. 두 번째 이유는 각종 기기들을 통해 전달된 저항 때문이라고 생각한다. 모든 소자들을 이어준 전선은 아무리 저항이 작더라도 0이 아니고, 표면에 녹이 슬었거나 접촉이 불량하다면 저항은 더욱 커지기 때문이다. 우리 조는 실험을 하면서 시정수라는 개념을 생각하지 않고 실험을 진행해 오차가 나는지 잘 모르고 있었다. 만약 실험을 한번 더 진행했을 때도 이러한 값이 나왔다면 좀 더 자세하게 오차가 난 이유를 알 수 있었을 테지만 초반에 콘덴서가 잘못된 줄도 모르고 실험시간을 많이 날렸기 때문에 시간에 쫓겨 실험을 한 점은 많이 아쉽다.
8.결론
용량과 저항이 각기 다른 두 개의 축전기를 이용하여 축전기의 충전과 방전의 기능을 알아보는 실험이었다. 실험을 통해 얻어진 실험값으로 시간에 따른 전류 그래프와 전압 그래프 그리고 로그전류, 로그전압 그래프를 그렸다. 시간 대 전류 그래프를 보면 충전일 때와 방전일 때 같은 양상의 그래프를 가졌고 전압 그래프일 때는 충전일 때와 방전일 때 반대의 그래프를 얻었다. 로그전류와 로그전압 또한 마찬가지이다.
시정수는 최댓값의 63.2%까지 충전되는데 걸리는 시간 t=RC이다. 회로에 흐르는 전류는 시간에 따라 감소하고 시정수는 초기 전류 값에 대해 36.8%감소하는데 걸리는 시간임을 측정값을 통해 알 수 있었다.
'관리하지않음 > 대학과제' 카테고리의 다른 글
| NS-3 설치 및 사용법 (1) | 2020.03.19 |
|---|---|
| 일반물리학 실험 보고서 6 - 교류회로 (0) | 2020.03.14 |
| 일반물리학 실험 보고서 4 - 등전위선과 자기장 (9) | 2020.03.13 |
| 일반물리학 실험 보고서 3 - 전류 저울 (0) | 2020.03.13 |
| 일반물리학 실험 보고서 2 - 직류회로 (2) | 2020.03.12 |