1. 실험 목적
여러 개의 저항체와 직류 전원으로 구성된 직렬 회로와 병렬 회로를 구성하고, 회로의 각 지점에서의 전압과 전류를 측정하여 Ohm의 법칙과 Kirchhoff의 법칙을 확인한다.
2. 실험 원리
(1) 저항
저항은 전압과 전류에 의해 결정되는 특정한 크기로, 전압과는 비례하고 전류와는 반비례 관계를 갖는다. 예를 들어, 전류가 전압에 비해서 상대적으로 아주 작은 값이면 저항의 값은 굉장히 커진다. 그러므로 저항이 크면 클수록 전류의 흐름은 더욱 방해를 받는다. 저항은 R로 표기하고 단위는 옴(ohm)을 사용한다. 일반적으로 거의 모든 물체는 저항을 가지고 있으며, 저항이 있는 물체를 저항체라고 한다.
(2) Ohm의 법칙
옴의 법칙(Ohm's law)은 전류의 세기는 두 점 사이의 전위차에 비례하고 저항체에 반비례한다는 법칙이다. 전류는 I, 전위차(전압)가 이고, 두 점 사이의 전기저항을 R로 표기 한다. Ohm의 법칙은 다음 식으로 쓸 수 있다.

전압이 회로상의 어떤 소자(element)를 가로지르면서 흐르면, 전류는 전압에 직접적으로 비례하면서 변한다. 이때 저항은 전류의 양을 조절한다. 다시 말해, 전압 값의 변화는 저항의 크기 변화에 의해 결정된다. 저항의 단위인 Ohm은 옴의 법칙으로부터 V/A임을 알 수 있는데 야 끝 사이의 전위차를 1V로 유지할 때 1A의 전류가 흐르면 도체의 저항은 1이 된다. Ohm의 법칙은 많은 도체들에 대해서 넓은 범위의 V,I 및 온도 영역에서 만족이 잘 되며 I에 대한 의 값을 그림으로 그리면 직선이 되고 이 직선의 기울기가 도체의 저항을 나타낸다. 그러나 Ohm의 법칙을 따르지 않는 물질도 많이 있음을 유의해야 한다.
(3) 저항의 연결
① 직렬연결
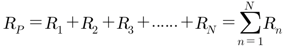
만일 두 개 이상의 저항소자가 연속적으로 연결되어 있고 각 저항에 동일한 전류가 흐르면, 이것을 저항의 직렬연결이라고 한다. 저항 N개가 직렬로 연결되어 있는 경우, 총 저항 값 혹은 등가 저항 값은 다음과 같이 각각의 저항 값을 합한 식으로 나타낼 수 있다.

직렬연결회로에서 각 저항들은 한쪽 끝에 아무런 접합점 없이 연결되어 있으므로 서로 직렬이다. 그러므로 각각의 저항에는 같은 양의 전류 I가 흐른다.
위의 식은 Ohm의 법칙에 의하여 증명 할 수 있다. 각 저항 양단의 전위차는 V1=R1*I, V2=R2*I, V3=R3*I이다.
그러므로 전위차의 합은 다음과 같이 된다.


② 병렬연결
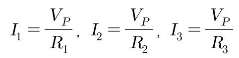
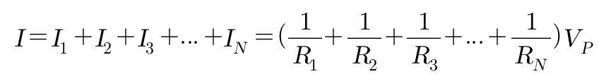
두 개 이상의 저항소자가 평행으로 연결되어 있고 각 저항에 동일한 전압이 흐르면 저항의 병렬연결이라고 한다. 저항 N개가 병렬로 연결되어 있는 경우, 총 저항 값의 역수는 다음과 같이 각 저항의 역수의 합을 더한 식으로 나타낼 수 있다.

위의 식은 Ohm의 법칙에 의하여 증명 할 수 있다. Ohm의 법칙에 의하여 각 저항에 흐르는 전류는

이고 회로에 흐르는 총 전류 I는 다음과 같다.


(4) Kirchhoff의 전류 법칙 (Kirchhoff의 제 1법칙)
키르히호프의 전류 법칙(Kirchhoff's current law) 혹은 접점 법칙 또는 전류 법칙이라고도 하며, 전하 보존 법칙을 기반으로 한다. 주어진 회로에서 하나의 접점으로 들어가는 전류의 방향을 양의 부호로 정하면, 반대로 동일한 접점에서 나가는 전류의 방향은 음의 부호로 표시한다. 들어가는 전류의 방향을 음의 부호로 먼저 지장해도 아무런 문제는 없으나 나가는 전류의 방향은 반드시 반대부호로 표시해야 한다. 전하는 생성되는 것이 아니고 항상 보존되어야 하기 때문에, 접점에서 들어가거나 나오는 전류의 합은 항상 0이 되어야 한다. 여기서 0은 상태가 보존된다는 의미이다. 즉, 전류가 통과하면서 서로 만나는 접점을 기준으로 접점으로 들어오는 전류와 접점에서 나가는 전류의 합은 같다.
(5) Kirchhoff의 전압 법칙 (Kirchhoff의 제 2법칙)
키르히호프의 전압 법칙(Kirchhoff's voltage law) 혹은 루프 법칙 또는 전압 법칙이라고도 하며, 에너지 보존 법칙을 기반으로 한다. 몇 개의 분기로 이루어진 루프에서, 루프(폐회로)의 시계 방향 혹은 반시계 방향 중 한쪽을 참고방향으로 정한 후 각 분기를 흐르는 전압 방향이 참고 방향과 일치하면 양의 부호를 붙이고, 일치하지 않는 경우는 음의 부호를 붙인다. 이 때 루프를 통과하는 모든 분기 전압의 대수합은 0이 된다.
(6) 저항의 색 읽기
색 저항의 저항 값은 색 띠를 이용해 읽을 수 있다. 저항에는 주로 4개 또는 5개의 색 때를 가진 저항이 사용되고 있다. 왼쪽부터 오른쪽으로 차례로 색 띠를 숫자로 변환시켜서 저항 값을 찾을 수 있다. 각 띠들은 다음을 나타낸다.
⦁ 첫 번째 띠 : 두 자리 저항 값의 십의자리
⦁ 두 번째 띠 : 두 자리 저항 값의 일의자리
⦁ 세 번째 띠 : 저항 값의 단위를 10의 지수 승으로 표시
⦁ 네 번째 띠 : 저항의 오차범위
|
구분 |
검정 |
갈색 |
빨강 |
주황 |
노랑 |
초록 |
파랑 |
보라 |
회색 |
흰색 |
금색 |
은색 |
무색 |
|
A, B, C (유효숫자) |
0 |
1 |
2 |
3 |
4 |
5 |
6 |
7 |
8 |
9 |
|
|
|
|
D |
|
|
|
|
|
|
|
|
|
|
|
|
|
|
E |
1% |
2% |
3% |
4% |
|
|
|
|
|
|
5% |
10% |
20% |
3. 실험 기구 및 재료
직류전원 공급기, 멀티미터, 색저항 3개
4. 실험 방법
[실험1] 직렬회로
(1) 멀티미터로 저항 R1, R2, R3을 구한다.
(2) 직렬회로를 구성한다.
(3) 직류 전원공급기의 전원을 넣고 출력 선을 회로에 연결한 다음 인가 전압Vs이 0.5V가 되도록 조정손잡이를 돌린다.
(3) 양단의 전위차 V1, V2, V3와 전류I를 측정한다.
※ 앞에서의 설명과 중복이 되는 내용으로서, 어떤 소자 양단의 전압(전위차)을 측정할 때에는 멀티미터의 로터리 스위치를 직류전압 측정범위에 위치시킨 후에 소자와 병렬로 연결해야 된다. 또한 어떤 소자를 흐르는 전류를 측정할 때에는 소자의 어느 한쪽 끝을 개방(단선)한 후 멀티미터의 로터리 스위치를 직류전류 측정범위에 위치시킨 다음 개방한 부분을 멀티미터와 소자가 직렬이 되게 연결하여 측정한다.
(4) 전체전압 Vs을 0.5V씩 증가시키면서 과정 (3)을 반복한다.
(5) 전원공급기의 출력 선을 회로에서 분리한 후 색 코드의 저항 값, 실험 저항 값 그리고 멀티미터로 측정한 저항 값을 비교한다.
[실험 2] 병렬회로
(1) 병렬회로를 구성한다.
(2) 직류 전원공급기의 전압조정손잡이를 반시계 방향 끝까지 돌린 후 출력 선을 회로에 연결한 다음 인가 전압 Vp를 0.5V가 되도록 조정손잡이를 돌린다.
(3) 멀티미터로 R1, R2, R3 양단의 전위차Vp와 각 저항에 흐를 전류 I1, I2, I3와 전체 전류I 를 측정한다.
(4) 전체전압 Vp를 0.5V씩 증가시키면서 과정 (3)를 반복한다.
(5) 전원공급기의 출력 선을 회로에서 분리한 후 색 코드의 저항 값, 실험 저항 값 그리고 멀티미터로 측정한 저항 값을 비교한다.
5. 측정값


잘못된 내용이 있다면 언제든지 댓글이나 메일로 알려주시면 감사하겠습니다.
이 포스팅이 도움이 되었다면 공감 부탁드립니다.
궁금한 점은 언제든지 댓글 남겨주시면 답변해드리겠습니다:D
'관리하지않음 > 대학과제' 카테고리의 다른 글
| 일반물리학 실험 보고서 4 - 등전위선과 자기장 (9) | 2020.03.13 |
|---|---|
| 일반물리학 실험 보고서 3 - 전류 저울 (0) | 2020.03.13 |
| 일반물리학 실험 보고서 1 - 전자측정연습 (0) | 2020.03.12 |
| bomb lab phase 2 설명 (3) | 2020.03.03 |
| bomb lab phase 1 설명 (1) | 2020.03.02 |