1. 실험 목적
물리실험에 필요한 기본 전자측정 장비인 오실로스코프 및 멀티미터, 그리고 전원발생장치인 함수발생기 및 직류전원공급기의 사용법을 익히고 간단한 회로를 구성하여 전압, 전류 및 전기저항을 측정한다. 직류 전압과 교류 전압의 파형을 측정하고 관찰 한다. 그리고 전압, 전류 및 전기저항 사이에 무슨 관계가 있는지 실험을 통해 계산한다.
2. 실험 원리
(1) 기본 용어
① 전류 : I또는 𝑖로 표기하고, 단위는 암페어(ampere, A)를 사용하며, 다음과 같이 단위 시간당 흐르는 단위 전하의 양으로 나타낸다. 즉, 1A는 1C/sec와 동일하다
② 전압 : V또는 v로 표기하고 단위는 볼트(volt, V)를 사용하며, 다음과 같이 에너지 W와 전하 q의 관계식으로 나타낸다. 즉, 1V는 1joule/coulomb과 동일하다.
③ 저항 : R로 표기하고 단위는 옴(ohm, )을 사용하며, 1옴은 다음과 같이 나타낸다.
♠ 참고
* 저항 값의 색 읽는 방법
|
구분 |
검정 |
갈색 |
빨강 |
주황 |
노랑 |
초록 |
파랑 |
보라 |
회색 |
흰색 |
금색 |
은색 |
무색 |
|
A, B (유효숫자) |
0 |
1 |
2 |
3 |
4 |
5 |
6 |
7 |
8 |
9 |
|
|
|
|
D |
|
|
|
|
|
|
|
|
|
|
|
|
|
|
E |
1% |
2% |
3% |
4% |
|
|
|
|
|
|
5% |
10% |
20% |
첫 번째 색 : A, 두 번째 색 : B, 세 번째 색 :C, 네 번째 색 : D
(2) 옴의 법칙
전압 V , 전류 I 및 저항 R 사이에는 V=I*R 이 성립한다.
많은 경우 저항 R 은 전류나 전압의 크기와 관계없이 일정한데 이 경우 ‘옴(Ohm)의 법칙을 만족한다.’ 라고 한다.
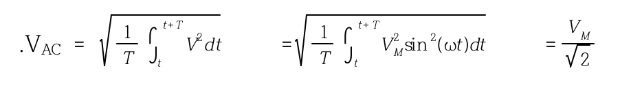
(3) 진폭과 실효값 사이의 관계
직류전압은 시간에 따라 변화되지 않지만 교류전압은 그림 17.1과 같이 시간에 따라 변화되며, 일반적으로 형태를 가진다. 여기서 은 교류전압의 진폭(최대값)이며, 각진동수 ω는 또는 이고, f는 진동수(주파수)로 단위시간당 진동횟수, T는 주기이다. 한 주기 T동안 교류전압의 평균 는 항상 0이므로 교류전압의 크기를 나타내기에는 부적합하다. 따라서 교류전압의 크기 VAC는 시간에 따라 제곱 평균근을 취하여 나타내며, 다음과 같다.

여기서 교류전압의 크기를 실효전압이라 부른다.
정리하면, 교류전압이 시간에 대하여 사인 또는 코사인 함수를 따를 때 진폭 과 실효값 사이에는 다음의 관계가 있다

(4) 오차 값 계산방법
실험값에는 오차가 있기 마련이다. 실험방법, 사용한 기구, 실험할 때의 환경에 따라 생기는 피할 수 없는 오차로서 어떤 실험이든지 그 실험의 정밀도에는 한계가 있다. 실험 오차의 크기는 측정 결과가 측정한 양이 참된 값과 비교하여 얼마나 잘 일치하는가를 나타내는 정도를 퍼센트(%)로 표시하면 다음과 같다.
3. 실험 기구 및 재료
실험 1. 멀티미터, 직류전원장치, 오실로스코프
실험 2. 멀티미터, 함수발생기, 오실로스코프
실험 3. 함수발생기, 오실로스코프
실험 4. 멀티미터, 저항
실험 5. 멀티미터, 직류전원장치, 저항
♠ 참고
*오실로스코프- 모든 분야의 실험실에서 사용되는 기분장비로써 음극선관(Cathode Ray Tube, CRT)을 사용하여 하나 이상의 전기 신호를 시간이나 다른 전기 신호의 함수로 표시하는 장치이다.
*직류전원공급기(DC Power Supply)- 교규전원을 입력받아 직류 전원을 출력하는 장치를 말한다.
*멀티미터-직류와 교류의 전압, 전류, 저항, 진동수, Capacitance등을 측정할 수 있는 장치
*함수발생기(Function Generator)는 110V 또는 220V, 60Hz의 교류전원을 입력받아 원하는 전압과 진동수의 교류전원을 출력시킨다.
4. 실험 방법
실험 1. 직류전압측정
직류전원공급기의 출력 전압을 1V,2V,5V,10V로 바꿔가면서 멀티미터와 오실로스코프로 측정을 하여 비교를 한다.

실험 2. 교류전압측정
함수발생기의 진동수를 100Hz, 200Hz로 바꿔가며 조절하여 멀티미터와 오실로스코프로 전압을 측정한다.

실험 3. 진동수(주기) 측정
함수발생기의 출력 선을 오실로스코프의 프로브와 연결을 한다. 그리고 오실로스코프로 교류전압의 주기 및 진동수를 측정 한다.
실험 4. 전기저항측정
주어진 저항의 저항 값을 멀티미터를 사용하여 측정하고 색으로 읽은 저항 값과 비교를 한다.

실험 5. 직류전류측정
멀티미터, 직류전원장치, 저항을 직렬로 연결하여 전류가 흐르게 하고 멀티미터에 나타난 전류를 읽는다. 이로부터 전압, 전류, 저항 사이에 어떤 관계가 있는지 알아본다.

5. 측정값





티스토리에는 함수 식이 제대로 올라가지 않네요ㅠ
캡쳐해서 올리기에는 한계가 있어서 실험 결과는 올리지 않겠습니다.
잘못된 내용이 있다면 언제든지 댓글이나 메일로 알려주시면 감사하겠습니다.
이 포스팅이 도움이 되었다면 공감 부탁드립니다.
궁금한 점은 언제든지 댓글 남겨주시면 답변해드리겠습니다:D
'관리하지않음 > 대학과제' 카테고리의 다른 글
| 일반물리학 실험 보고서 3 - 전류 저울 (0) | 2020.03.13 |
|---|---|
| 일반물리학 실험 보고서 2 - 직류회로 (2) | 2020.03.12 |
| bomb lab phase 2 설명 (3) | 2020.03.03 |
| bomb lab phase 1 설명 (1) | 2020.03.02 |
| attack lab phase 5 설명 (1) | 2018.12.06 |