1. 실험 목적
레이저광을 단일 슬릿과 이중 슬릿에 비추면 일어나는 현상을 관측한다. 슬릿의 간격과 폭을 달리하면서 회절무늬와 간섭무늬를 관측하고 빛의 성질을 이해한다.
2. 실험 원리
(1) 레이저 광
레이저는 전기적 또는 분자 전이에 의한 광자방출을 낮은 에너지 준위로 자극함으로써 집중적, 응축 적, 직접적 광학방사를 하는 장치를 말한다. 레이저 광선은 사람이 만든 인공광선으로서 단색성, 지향성, 간섭성, 에너지 집중과 고휘도의 성질을 가진다.
① 단색성 : 태양광과 달리 레이저는 색상의 변화가 일어나지 않으며, 다른 여러 가지 빛이 혼합되어 있지 않고, 어느 정도의 순수한 단일광으로 만들어진다.
② 지향성 : 빛이 퍼지지 않고 일정한 방향으로 직진하는 성질을 가지고 있다.
③ 간섭성 : 간섭은 위상의 차이에 따라 명암의 무늬가 나타나는 현상으로, 레이저는 위상이 균일하므로 약간의 장애물에 부딪히면 곧 간섭을 일으킨다.
④ 에너지 집중도와 고휘도 : 레이저 빛은 에너지 밀도가 높기 때문에 철판까지도 녹일 수 있다.

(2) 빛의 간섭
2개 이상의 같은 종류의 파동이 동일점에서 만날 때, 그 점에서 서로 강하게 만나거나 약하게 만나는 현상을 말한다. 예를 들면 2개의 빛이 겹쳐질 때, 각각의 빛이 위상차에 의해서 빛의 강도가 서로 강하게 되거나 약하게 되거나 한다. 이것을 빛의 간섭이라고 하고, Young의 이중슬릿에 의한 간섭실험에서 발견되었다.


(3) 단일 슬릿에 의한 회절
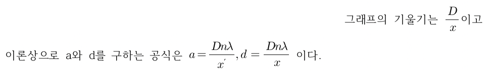
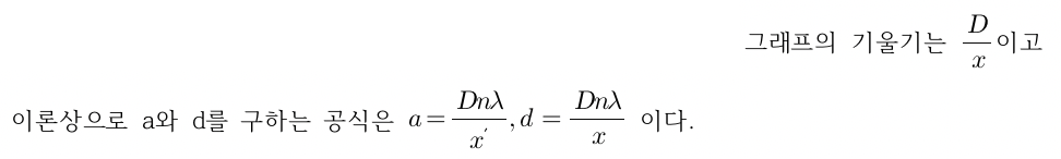
빛은 파장이 아주 짧기 때문에 회절 현상을 보기가 어렵지만 아주 좁은 틈을 통과할 때에는 빛도 회절 한다. 단일 슬릿에 의한 빛의 회절은 빛이 슬릿을 지나면서 회절 되고, 회절 된 빛이 서로 간섭하기 때문에 회절 무늬가 나타난다. 슬릿의 폭이 좁을수록, 슬릿과 스크린 사이의 거리가 멀수록, 빛의 파장이 길수록 회절 무늬 간격이 넓어진다. 즉 회절이 잘 일어나는 것이다. 폭이 a인 슬릿에 레이저 광을 수직하게 비추면 거리 D만큼 떨어져 있는 스크린 위에 회절무늬가 생긴다. 스크린 상의 한 점 P를 생각해보면 두 광선의 광로차가 파장의 반정수배가 되도록 를 정하면 P에서 소멸 간섭으로 어두운 무늬가 나타날 것이다.

(4) 이중슬릿(동일한 두 개의 평행한 슬릿)에 의한 회절

슬릿간격 a가 슬릿 폭 b보다 크기 때문에, 회절무늬 강도가 0이 되는 점들 사이의 간격은 간섭무늬의 경우보다 넓다. 따라서 두 슬릿의 밝은 무늬는 단일슬릿에 의해서 만들어진 것보다 더 조밀하게 배열된다. 그 결과 얻어지는 강도분포는 아래 그림과 같다.

3. 실험기구 및 재료
광학대, 레이저, 단일 슬릿, 이중 슬릿, 줄자, 종이, 고정핀
4. 실험 방법



5. 측정값
레이저 파장 : ƛ(lambda) = 650nm
<실험 1> 단일 슬릿

<실험 2> 이중 슬릿



6. 실험 결과
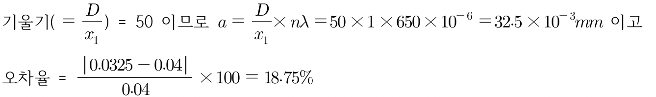
<실험 1> 단일 슬릿


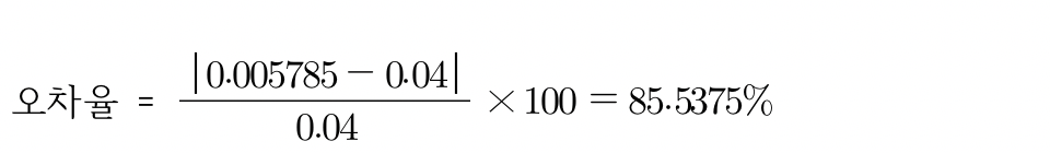
<실험 2> 이중 슬릿





7. 결과에 대한 논의

8. 결론
단일 슬릿에 의한 레이저광의 회절무늬와 이중슬릿에 의한 레이저광의 회절 및 간섭무늬를 실험하고 슬릿의 간격과 폭을 측정하는 실험을 했다. 슬릿 사이의 간격과 슬릿 폭의 측정값을 구하기 위해 첫 번째 회절무늬가 나타나는 점까지의 거리와 D의 관계그래프, 첫 번째 간섭무늬가 나타나는 점까지의 거리와 D의 관계그래프를 그렸다.

9. 참고문헌 및 출처
(1) 일반물리학실험, 부산대학교 물리학교재편찬위원회, 청문각
'관리하지않음 > 대학과제' 카테고리의 다른 글
| 일반물리학 실험 보고서 10 - 변압기의 원리 (1) | 2020.10.29 |
|---|---|
| 일반물리학 실험 보고서 9 - 스넬의 법칙 (0) | 2020.10.28 |
| 크롬 CORS 에러 해결방법 (11) | 2020.06.18 |
| 일반물리학 실험 보고서 8 - 유도기전력 (6) | 2020.03.22 |
| 일반물리학 실험 보고서 7 - 전류가 만드는 자기장 (0) | 2020.03.22 |